출처는 행정안전부 주민등록 통계에 등록된 시, 군, 구, 읍, 면, 동을 기준으로 하고 있습니다.
구분 없는 전국 시, 군, 구, 읍, 면, 동 개수
- 도 : 9
- 시 : 85
- 군 : 82
- 구 : 101
- 읍 : 234
- 면 : 1169
- 동 : 2092
구분 시, 군, 구, 읍, 면, 동 개수
특별시 소속(서울특별시)
- 시 : 1
- 자치구 : 25
- 동 : 426
광역시 소속(부산광역시, 대구광역시, 인천광역시, 광주광역시, 대전광역시, 울산광역시)
- 시 : 6
- 자치군 : 5
- 자치구 : 44
- 읍 : 16
- 면 : 30
- 동 : 657
특별자치시 소속(세종특별자치시)
- 시 : 1
- 읍 : 1
- 면 : 9
- 동 : 10
도 소속(경기도, 강원도, 충청북도, 충청남도, 전라북도, 전라남도, 경상북도, 경상남도)
- 도 : 8
- 자치시 : 75
- 자치군 : 77
- 일반구 : 32
- 읍 : 210
- 면 : 1125
- 동 : 938
특별자치도 소속(제주특별자치도)
- 도 : 1
- 시 : 2
- 읍 : 7
- 면 : 5
- 동 : 31
자치단체별 상세 현황은 다음과 같습니다.
순서는 행정안전부 행정번호 코드 순서대로 진행합니다.
괄호 안의 내용은 6월 대비해서 증감수를 의미합니다. 동 부분에 25(1) 이런 식이면 7월 기준 25개의 동이 있는데 6월 대비하여 1개의 동이 증가했음을 의미합니다. 인구 부분도 동일한 내용인데 인구 부분에서 괄호 안의 내용이 음수면 인구 감소 양수면 인구 증가를 의미합니다.
격차가 1이나 2가 아닌 그보다 더 큰 경우 실제로 해당 수치만큼 늘어났기보다는 계산상의 오류 즉 제가 계산 잘못했을 가능성이 높습니다. 그리고 인구 변화가 큰 경우(수백 단위가 아닌 수천에서 수만 단위) 단순한 행정구역의 이동으로 보시면 됩니다.
서울특별시
부산광역시
대구광역시
인천광역시
광주광역시
대전광역시
울산광역시
세종특별자치시
경기도
강원도
충청북도
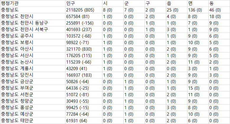
충청남도
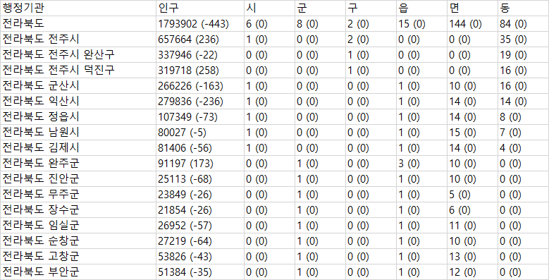
전라북도
전라남도
경상북도
경상남도
제주도
728x90
반응형
'기타 > 정보' 카테고리의 다른 글
블루문에 대한 정보 (0) | 2021.08.23 |
---|---|
정보보안기사 필기 고사장 이름 (0) | 2021.08.09 |
컬처랜드 문화상품권 충전 및 사용법 (0) | 2021.08.07 |
백신 접종 이후 타이레놀 대체 상비약 + 코로나 변이바이러스 이름 (0) | 2021.08.04 |
깃허브 copilot에 대한 정보 (0) | 2021.08.01 |